MATEMÁTICAS EN PRIMARIA Y SECUNDARIA
Menú
Saltar al contenido
EDUCACIÓN PRIMARIA
E. SECUNDARIA OBLIGATORIA
1º F.P. Básica
Aprende jugando
¿Colaboramos?
Contacto
Cursos (gratuitos) para profesores
GUÍA PARA EL PROFESOR
Otros Sitios Web
Recursos TIC
Sigue este sitio web
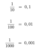
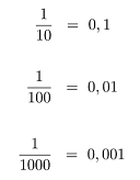
decimalesfracciones4
← Anterior
Siguiente →
Deja un comentario
Cancelar la respuesta
Δ
Comentar
Suscribirse
Suscrito
MATEMÁTICAS EN PRIMARIA Y SECUNDARIA
Únete a otros 109 suscriptores
Suscríbeme
¿Ya tienes una cuenta de WordPress.com?
Inicia sesión
.
MATEMÁTICAS EN PRIMARIA Y SECUNDARIA
Suscribirse
Suscrito
Regístrate
Iniciar sesión
Copiar enlace corto
Denunciar este contenido
Ver la entrada en el Lector
Gestionar las suscripciones
Contraer esta barra